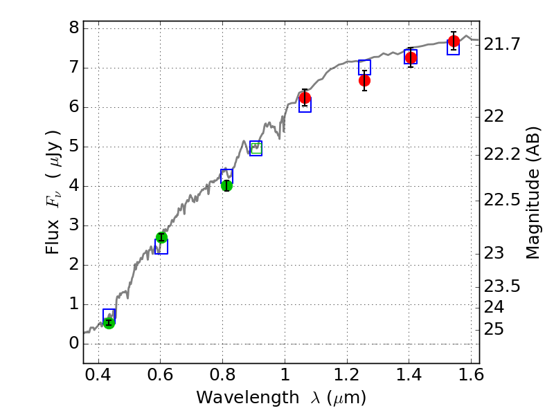
ABELL665 IR detection object #350

Color images and BPZ results
Catalog: 350.cat
Black segments are analyzed here.   Roll mouse over color images to view segments.
Best viewed in a wide browser window (1200 pixels or more).   Download SED & P(z) plots to view larger versions.
In P(z) plots: Yellow lines mark the cluster redshift z = 0.182,  

Object #350   x,y = (4219, 2713)   RA, Dec = (08:30:47.928, 65:50:52.80) = (127.69970, 65.84800)   BPZ = 0.153 [0.085--0.184]   type = 3.90 (Ell4_A_0 - Ell5_A_0)   stellarity = 0.03   chisq2 = 0.27   ODDS = 0.89   z_cluster = 0.182