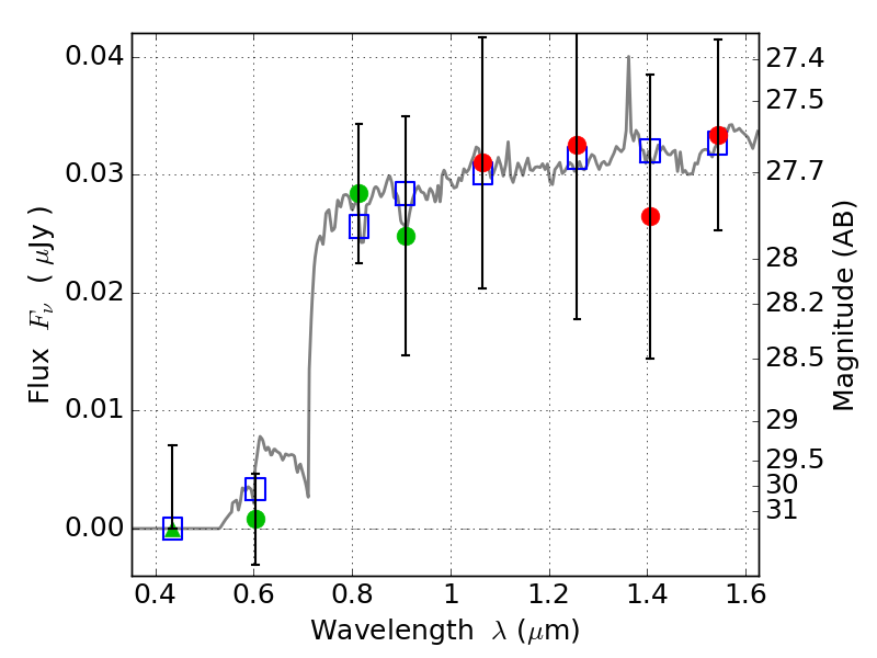
ABELL665 IR detection object #138

Color images and BPZ results
Catalog: 138.cat
Black segments are analyzed here.   Roll mouse over color images to view segments.
Best viewed in a wide browser window (1200 pixels or more).   Download SED & P(z) plots to view larger versions.
In P(z) plots: Yellow lines mark the cluster redshift z = 0.182,  

Object #138   x,y = (3552, 3164)   RA, Dec = (08:30:54.432, 65:51:20.16) = (127.72680, 65.85560)   BPZ = 4.857 [0.633--5.587]   type = 9.20 (SB2_B10 - SB3_B10)   stellarity = 0.06   chisq2 = 0.18   ODDS = 0.48   z_cluster = 0.182