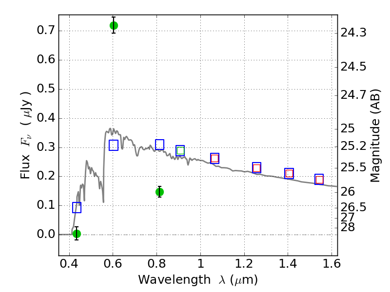
ABELL665 ACS+IR detection object #9081

Color images and BPZ results
Catalog: 9081.cat
Black segments are analyzed here.   Roll mouse over color images to view segments.
Best viewed in a wide browser window (1200 pixels or more).   Download SED & P(z) plots to view larger versions.
In P(z) plots: Yellow lines mark the cluster redshift z = 0.182,  

Object #9081   x,y = (4968, 623)   RA, Dec = (08:30:40.632, 65:48:47.52) = (127.66930, 65.81320)   BPZ = 3.594 [3.461--3.664]   type = 11.00 (SB11_A_0_l)   stellarity = 0.91   chisq2 = 186.30   ODDS = 1.00   z_cluster = 0.182