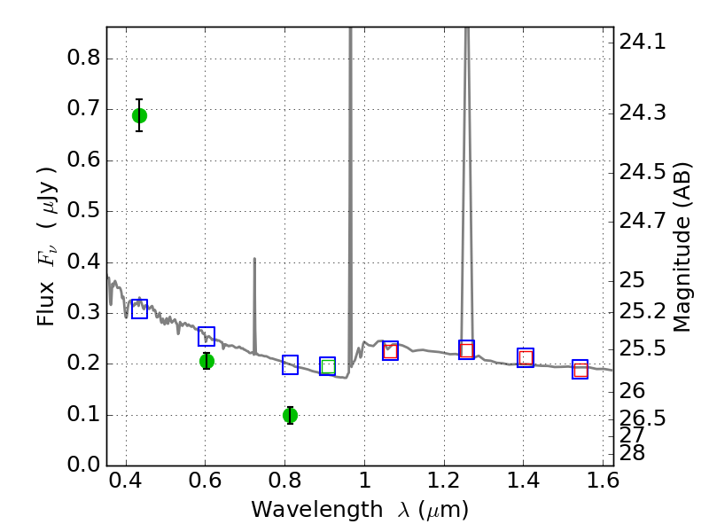
ABELL665 ACS+IR detection object #8981

Color images and BPZ results
Catalog: 8981.cat
Black segments are analyzed here.   Roll mouse over color images to view segments.
Best viewed in a wide browser window (1200 pixels or more).   Download SED & P(z) plots to view larger versions.
In P(z) plots: Yellow lines mark the cluster redshift z = 0.182,  

Object #8981   x,y = (4964, 664)   RA, Dec = (08:30:40.656, 65:48:50.04) = (127.66940, 65.81390)   BPZ = 1.592 [1.428--2.070]   type = 11.00 (SB11_A_0_l)   stellarity = 0.98   chisq2 = 123.90   ODDS = 0.67   z_cluster = 0.182