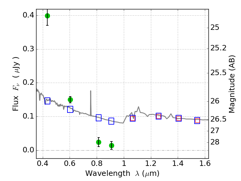
ABELL665 ACS+IR detection object #8578

Color images and BPZ results
Catalog: 8578.cat
Black segments are analyzed here.   Roll mouse over color images to view segments.
Best viewed in a wide browser window (1200 pixels or more).   Download SED & P(z) plots to view larger versions.
In P(z) plots: Yellow lines mark the cluster redshift z = 0.182,  

Object #8578   x,y = (1433, 849)   RA, Dec = (08:31:15.144, 65:49:01.20) = (127.81310, 65.81700)   BPZ = 1.699 [1.631--2.095]   type = 11.00 (SB11_A_0_l)   stellarity = 0.73   chisq2 = 113.20   ODDS = 0.50   z_cluster = 0.182