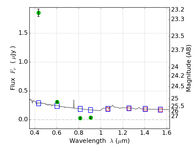
ABELL665 ACS+IR detection object #8415

Color images and BPZ results
Catalog: 8415.cat
Black segments are analyzed here.   Roll mouse over color images to view segments.
Best viewed in a wide browser window (1200 pixels or more).   Download SED & P(z) plots to view larger versions.
In P(z) plots: Yellow lines mark the cluster redshift z = 0.182,  

Object #8415   x,y = (1444, 921)   RA, Dec = (08:31:15.048, 65:49:05.52) = (127.81270, 65.81820)   BPZ = 1.699 [1.678--1.942]   type = 11.00 (SB11_A_0_l)   stellarity = 1.00   chisq2 = 637.20   ODDS = 0.70   z_cluster = 0.182