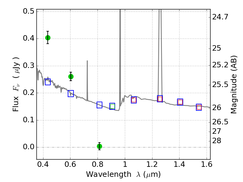
ABELL665 ACS+IR detection object #8084

Color images and BPZ results
Catalog: 8084.cat
Black segments are analyzed here.   Roll mouse over color images to view segments.
Best viewed in a wide browser window (1200 pixels or more).   Download SED & P(z) plots to view larger versions.
In P(z) plots: Yellow lines mark the cluster redshift z = 0.182,  

Object #8084   x,y = (4978, 1285)   RA, Dec = (08:30:40.536, 65:49:27.12) = (127.66890, 65.82420)   BPZ = 1.594 [1.496--2.034]   type = 11.00 (SB11_A_0_l)   stellarity = 0.94   chisq2 = 93.50   ODDS = 0.66   z_cluster = 0.182