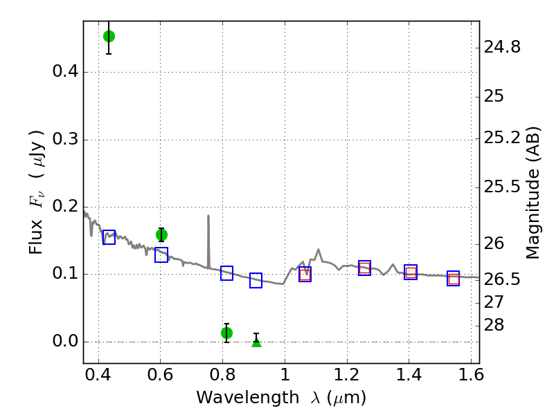
ABELL665 ACS+IR detection object #8055

Color images and BPZ results
Catalog: 8055.cat
Black segments are analyzed here.   Roll mouse over color images to view segments.
Best viewed in a wide browser window (1200 pixels or more).   Download SED & P(z) plots to view larger versions.
In P(z) plots: Yellow lines mark the cluster redshift z = 0.182,  

Object #8055   x,y = (1404, 1069)   RA, Dec = (08:31:15.432, 65:49:14.16) = (127.81430, 65.82060)   BPZ = 1.698 [1.646--2.050]   type = 11.00 (SB11_A_0_l)   stellarity = 0.87   chisq2 = 167.40   ODDS = 0.54   z_cluster = 0.182