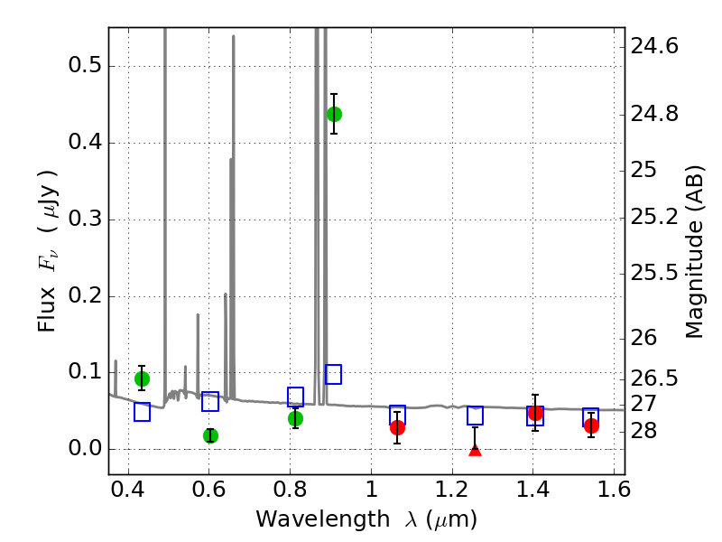
ABELL665 ACS+IR detection object #8026

Color images and BPZ results
Catalog: 8026.cat
Black segments are analyzed here.   Roll mouse over color images to view segments.
Best viewed in a wide browser window (1200 pixels or more).   Download SED & P(z) plots to view larger versions.
In P(z) plots: Yellow lines mark the cluster redshift z = 0.182,  

Object #8026   x,y = (3309, 1065)   RA, Dec = (08:30:56.832, 65:49:14.16) = (127.73680, 65.82060)   BPZ = 0.318 [0.283--0.363]   type = 11.00 (SB11_A_0_l)   stellarity = 0.79   chisq2 = 37.84   ODDS = 0.99   z_cluster = 0.182