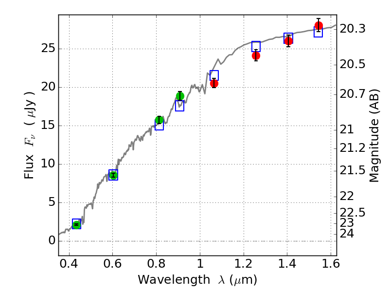
ABELL665 ACS+IR detection object #7812

Color images and BPZ results
Catalog: 7812.cat
Black segments are analyzed here.   Roll mouse over color images to view segments.
Best viewed in a wide browser window (1200 pixels or more).   Download SED & P(z) plots to view larger versions.
In P(z) plots: Yellow lines mark the cluster redshift z = 0.182,  

Object #7812   x,y = (3777, 1339)   RA, Dec = (08:30:52.248, 65:49:30.36) = (127.71770, 65.82510)   BPZ = 0.180 [0.133--0.205]   type = 4.00 (Ell4_A_0)   stellarity = 0.03   chisq2 = 0.29   ODDS = 0.98   z_cluster = 0.182