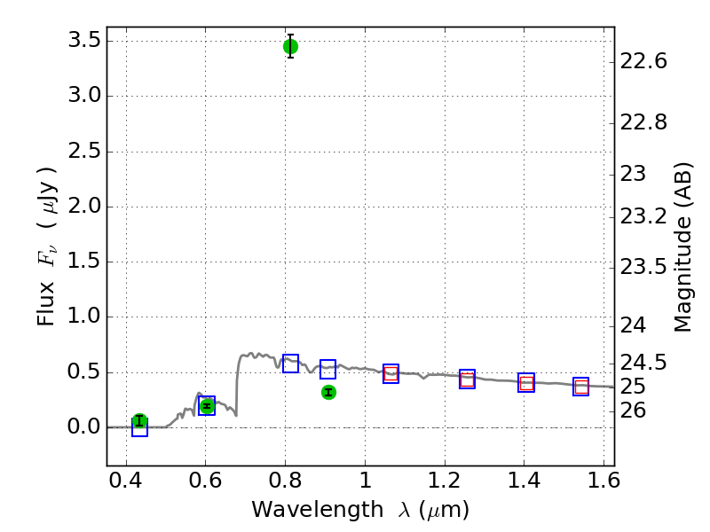
ABELL665 ACS+IR detection object #7734

Color images and BPZ results
Catalog: 7734.cat
Black segments are analyzed here.   Roll mouse over color images to view segments.
Best viewed in a wide browser window (1200 pixels or more).   Download SED & P(z) plots to view larger versions.
In P(z) plots: Yellow lines mark the cluster redshift z = 0.182,  

Object #7734   x,y = (1419, 1191)   RA, Dec = (08:31:15.288, 65:49:21.72) = (127.81370, 65.82270)   BPZ = 4.576 [4.486--4.661]   type = 11.00 (SB11_A_0_l)   stellarity = 1.00   chisq2 = 690.30   ODDS = 1.00   z_cluster = 0.182