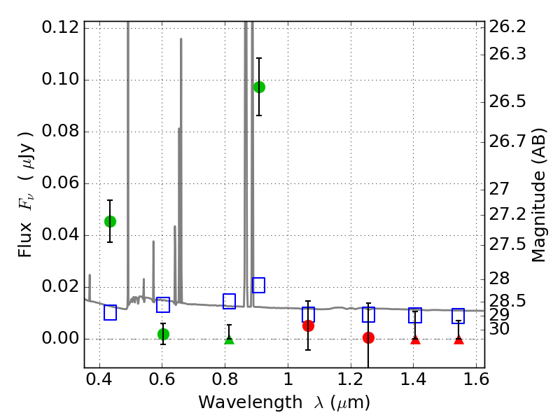
ABELL665 ACS+IR detection object #7428

Color images and BPZ results
Catalog: 7428.cat
Black segments are analyzed here.   Roll mouse over color images to view segments.
Best viewed in a wide browser window (1200 pixels or more).   Download SED & P(z) plots to view larger versions.
In P(z) plots: Yellow lines mark the cluster redshift z = 0.182,  

Object #7428   x,y = (3213, 1310)   RA, Dec = (08:30:57.768, 65:49:28.92) = (127.74070, 65.82470)   BPZ = 0.321 [0.277--3.162]   type = 11.00 (SB11_A_0_l)   stellarity = 0.69   chisq2 = 16.31   ODDS = 0.21   z_cluster = 0.182