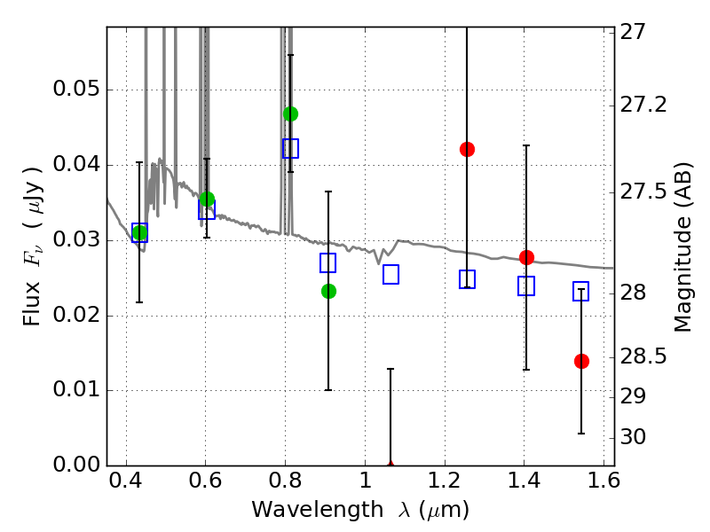
ABELL665 ACS+IR detection object #7258

Color images and BPZ results
Catalog: 7258.cat
Black segments are analyzed here.   Roll mouse over color images to view segments.
Best viewed in a wide browser window (1200 pixels or more).   Download SED & P(z) plots to view larger versions.
In P(z) plots: Yellow lines mark the cluster redshift z = 0.182,  

Object #7258   x,y = (3480, 1370)   RA, Dec = (08:30:55.152, 65:49:32.52) = (127.72980, 65.82570)   BPZ = 0.212 [0.080--3.330]   type = 11.00 (SB11_A_0_l)   stellarity = 0.00   chisq2 = 1.19   ODDS = 0.31   z_cluster = 0.182