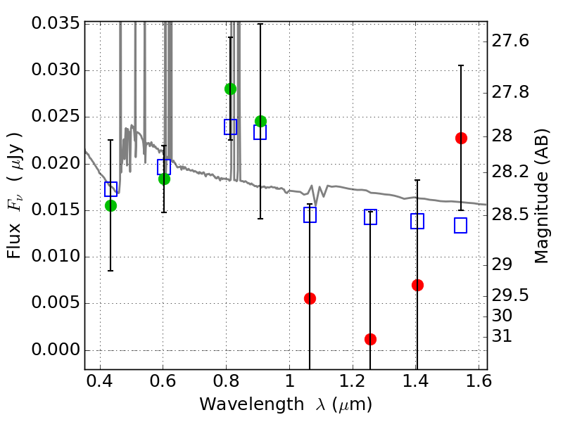
ABELL665 ACS+IR detection object #7208

Color images and BPZ results
Catalog: 7208.cat
Black segments are analyzed here.   Roll mouse over color images to view segments.
Best viewed in a wide browser window (1200 pixels or more).   Download SED & P(z) plots to view larger versions.
In P(z) plots: Yellow lines mark the cluster redshift z = 0.182,  

Object #7208   x,y = (3767, 1395)   RA, Dec = (08:30:52.344, 65:49:33.96) = (127.71810, 65.82610)   BPZ = 0.255 [0.112--3.720]   type = 11.00 (SB11_A_0_l)   stellarity = 0.01   chisq2 = 0.82   ODDS = 0.10   z_cluster = 0.182