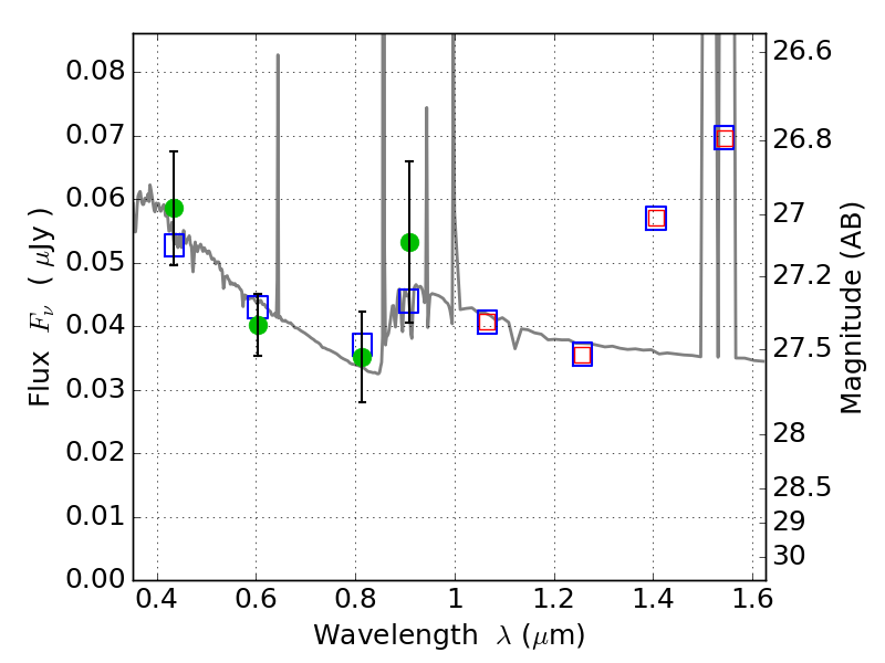
ABELL665 ACS+IR detection object #7114

Color images and BPZ results
Catalog: 7114.cat
Black segments are analyzed here.   Roll mouse over color images to view segments.
Best viewed in a wide browser window (1200 pixels or more).   Download SED & P(z) plots to view larger versions.
In P(z) plots: Yellow lines mark the cluster redshift z = 0.182,  

Object #7114   x,y = (2031, 1419)   RA, Dec = (08:31:09.312, 65:49:35.40) = (127.78880, 65.82650)   BPZ = 1.301 [0.760--2.554]   type = 11.00 (SB11_A_0_l)   stellarity = 0.00   chisq2 = 1.05   ODDS = 0.19   z_cluster = 0.182