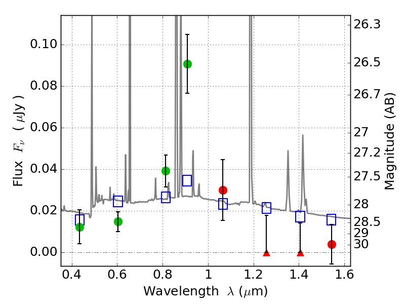
ABELL665 ACS+IR detection object #6387

Color images and BPZ results
Catalog: 6387.cat
Black segments are analyzed here.   Roll mouse over color images to view segments.
Best viewed in a wide browser window (1200 pixels or more).   Download SED & P(z) plots to view larger versions.
In P(z) plots: Yellow lines mark the cluster redshift z = 0.182,  

Object #6387   x,y = (3516, 1672)   RA, Dec = (08:30:54.792, 65:49:50.52) = (127.72830, 65.83070)   BPZ = 0.307 [0.233--4.700]   type = 10.10 (SB3_B10 - SB11_A_0_l)   stellarity = 0.00   chisq2 = 5.19   ODDS = 0.48   z_cluster = 0.182