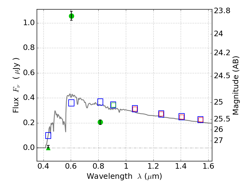
ABELL665 ACS+IR detection object #6262

Color images and BPZ results
Catalog: 6262.cat
Black segments are analyzed here.   Roll mouse over color images to view segments.
Best viewed in a wide browser window (1200 pixels or more).   Download SED & P(z) plots to view larger versions.
In P(z) plots: Yellow lines mark the cluster redshift z = 0.182,  

Object #6262   x,y = (4939, 1713)   RA, Dec = (08:30:40.896, 65:49:53.04) = (127.67040, 65.83140)   BPZ = 3.626 [3.550--3.686]   type = 11.00 (SB11_A_0_l)   stellarity = 1.00   chisq2 = 295.70   ODDS = 1.00   z_cluster = 0.182