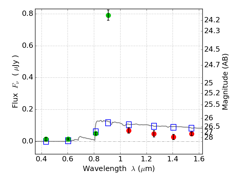
ABELL665 ACS+IR detection object #6131

Color images and BPZ results
Catalog: 6131.cat
Black segments are analyzed here.   Roll mouse over color images to view segments.
Best viewed in a wide browser window (1200 pixels or more).   Download SED & P(z) plots to view larger versions.
In P(z) plots: Yellow lines mark the cluster redshift z = 0.182,  

Object #6131   x,y = (3668, 1764)   RA, Dec = (08:30:53.328, 65:49:55.92) = (127.72220, 65.83220)   BPZ = 5.647 [5.396--5.760]   type = 11.00 (SB11_A_0_l)   stellarity = 0.94   chisq2 = 86.03   ODDS = 0.98   z_cluster = 0.182