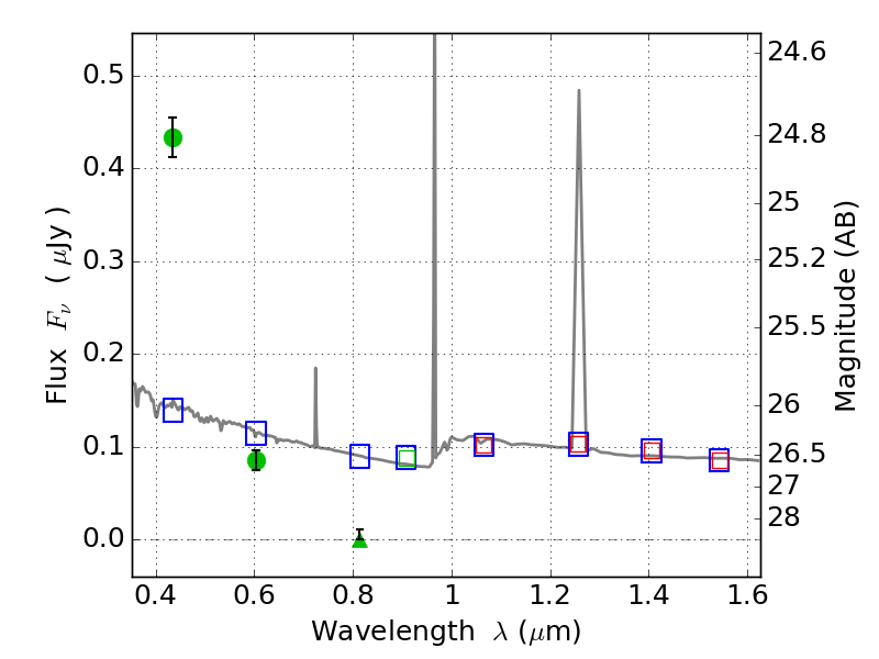
ABELL665 ACS+IR detection object #5933

Color images and BPZ results
Catalog: 5933.cat
Black segments are analyzed here.   Roll mouse over color images to view segments.
Best viewed in a wide browser window (1200 pixels or more).   Download SED & P(z) plots to view larger versions.
In P(z) plots: Yellow lines mark the cluster redshift z = 0.182,  

Object #5933   x,y = (4973, 1880)   RA, Dec = (08:30:40.560, 65:50:02.76) = (127.66900, 65.83410)   BPZ = 1.592 [1.418--2.102]   type = 11.00 (SB11_A_0_l)   stellarity = 1.00   chisq2 = 205.70   ODDS = 0.58   z_cluster = 0.182