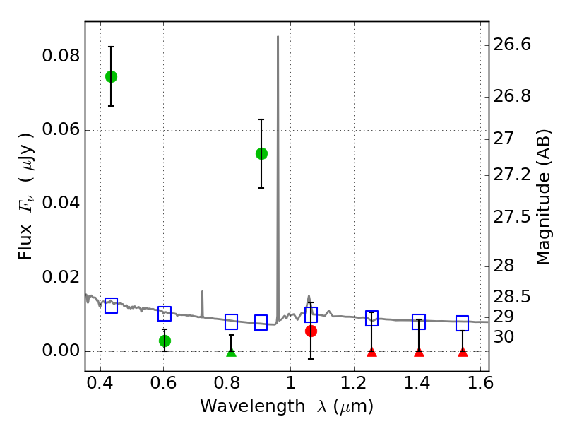
ABELL665 ACS+IR detection object #5729

Color images and BPZ results
Catalog: 5729.cat
Black segments are analyzed here.   Roll mouse over color images to view segments.
Best viewed in a wide browser window (1200 pixels or more).   Download SED & P(z) plots to view larger versions.
In P(z) plots: Yellow lines mark the cluster redshift z = 0.182,  

Object #5729   x,y = (2498, 1870)   RA, Dec = (08:31:04.752, 65:50:02.40) = (127.76980, 65.83400)   BPZ = 1.583 [0.381--2.654]   type = 11.00 (SB11_A_0_l)   stellarity = 0.50   chisq2 = 19.10   ODDS = 0.12   z_cluster = 0.182