ABELL665 ACS+IR detection object #5707

Color images and BPZ results
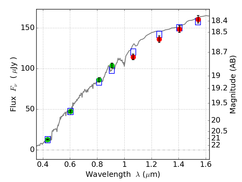
Catalog: 5707.cat
Black segments are analyzed here.   Roll mouse over color images to view segments.
Best viewed in a wide browser window (1200 pixels or more).   Download SED & P(z) plots to view larger versions.
In P(z) plots: Yellow lines mark the cluster redshift z = 0.182,  

Object #5707   x,y = (3054, 2805)   RA, Dec = (08:30:59.304, 65:50:58.56) = (127.74710, 65.84960)   BPZ = 0.167 [0.118--0.190]   type = 4.10 (Ell4_A_0 - ES0_B10)   stellarity = 0.03   chisq2 = 0.20   ODDS = 0.97   z_cluster = 0.182