ABELL665 ACS+IR detection object #5463

Color images and BPZ results
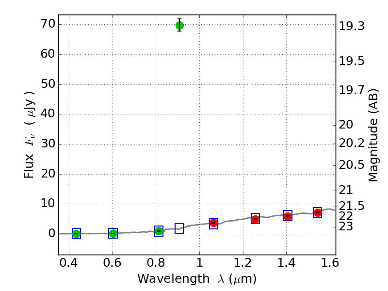
Catalog: 5463.cat
Black segments are analyzed here.   Roll mouse over color images to view segments.
Best viewed in a wide browser window (1200 pixels or more).   Download SED & P(z) plots to view larger versions.
In P(z) plots: Yellow lines mark the cluster redshift z = 0.182,  

Object #5463   x,y = (4208, 1815)   RA, Dec = (08:30:48.048, 65:49:59.16) = (127.70020, 65.83310)   BPZ = 1.114 [1.081--1.246]   type = 1.10 (Ell7_A_0 - Ell6_A_0)   stellarity = 0.98   chisq2 = 207.30   ODDS = 0.89   z_cluster = 0.182