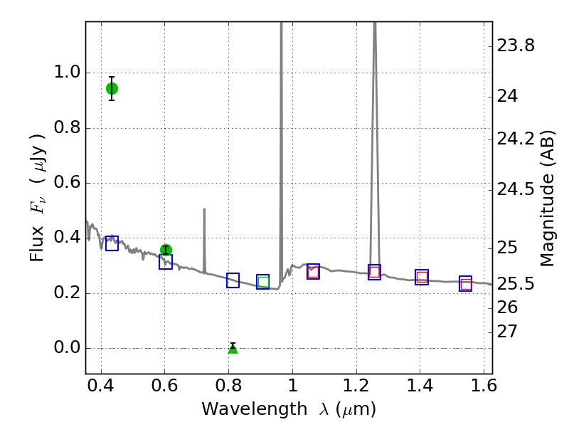
ABELL665 ACS+IR detection object #535

Color images and BPZ results
Catalog: 535.cat
Black segments are analyzed here.   Roll mouse over color images to view segments.
Best viewed in a wide browser window (1200 pixels or more).   Download SED & P(z) plots to view larger versions.
In P(z) plots: Yellow lines mark the cluster redshift z = 0.182,  

Object #535   x,y = (1462, 3825)   RA, Dec = (08:31:14.880, 65:51:59.76) = (127.81200, 65.86660)   BPZ = 1.593 [1.536--1.919]   type = 11.00 (SB11_A_0_l)   stellarity = 1.00   chisq2 = 194.40   ODDS = 0.84   z_cluster = 0.182