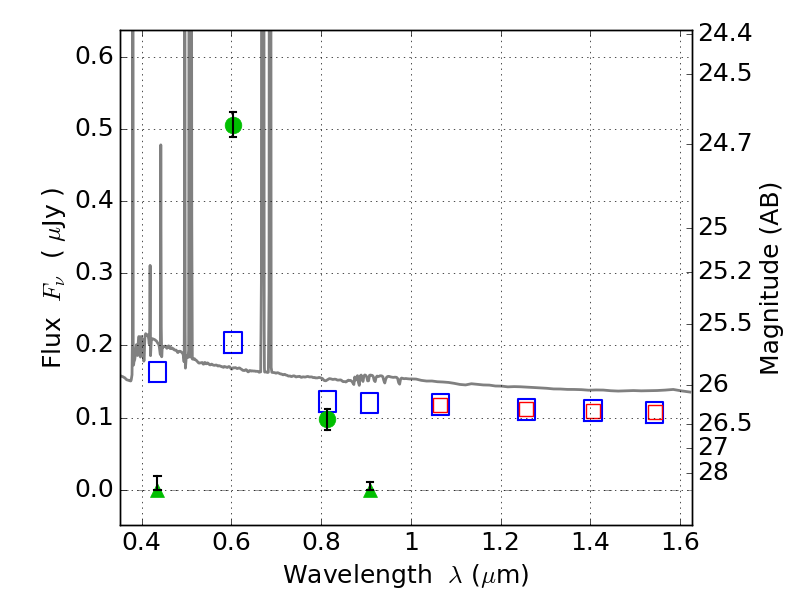
ABELL665 ACS+IR detection object #5194

Color images and BPZ results
Catalog: 5194.cat
Black segments are analyzed here.   Roll mouse over color images to view segments.
Best viewed in a wide browser window (1200 pixels or more).   Download SED & P(z) plots to view larger versions.
In P(z) plots: Yellow lines mark the cluster redshift z = 0.182,  

Object #5194   x,y = (1421, 2048)   RA, Dec = (08:31:15.264, 65:50:13.20) = (127.81360, 65.83700)   BPZ = 0.016 [0.010--0.052]   type = 11.00 (SB11_A_0_l)   stellarity = 0.92   chisq2 = 284.30   ODDS = 0.99   z_cluster = 0.182