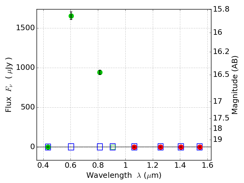
ABELL665 ACS+IR detection object #5128

Color images and BPZ results
Catalog: 5128.cat
Black segments are analyzed here.   Roll mouse over color images to view segments.
Best viewed in a wide browser window (1200 pixels or more).   Download SED & P(z) plots to view larger versions.
In P(z) plots: Yellow lines mark the cluster redshift z = 0.182,  

Object #5128   x,y = (4632, 2165)   RA, Dec = (08:30:43.896, 65:50:20.04) = (127.68290, 65.83890)   BPZ = 0.195 [0.126--0.278]   type = 2.70 (Ell5_A_0 - Ell6_A_0)   stellarity = 1.00   chisq2 = 574.30   ODDS = 0.79   z_cluster = 0.182