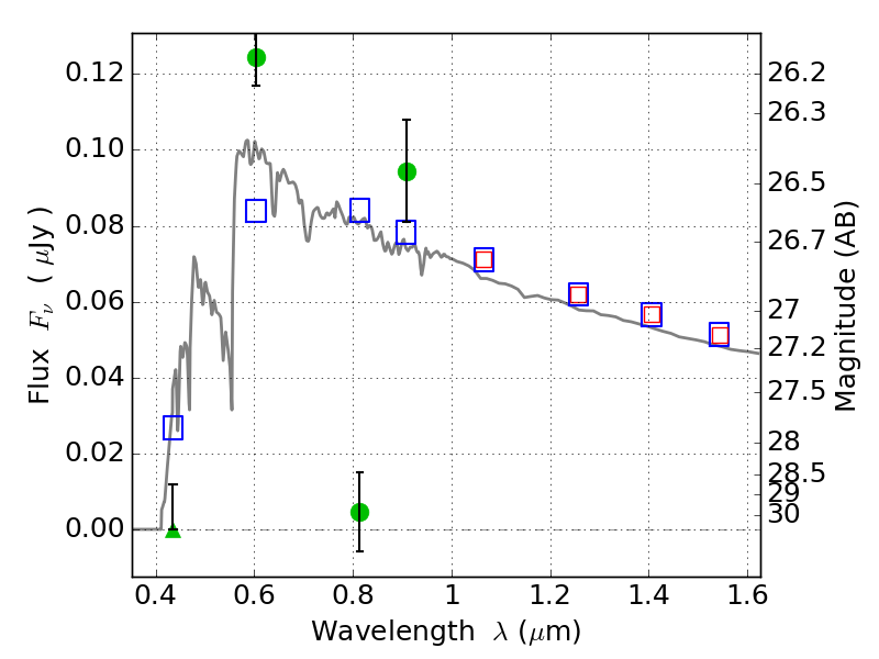
ABELL665 ACS+IR detection object #5023

Color images and BPZ results
Catalog: 5023.cat
Black segments are analyzed here.   Roll mouse over color images to view segments.
Best viewed in a wide browser window (1200 pixels or more).   Download SED & P(z) plots to view larger versions.
In P(z) plots: Yellow lines mark the cluster redshift z = 0.182,  

Object #5023   x,y = (1507, 2114)   RA, Dec = (08:31:14.424, 65:50:17.16) = (127.81010, 65.83810)   BPZ = 3.575 [3.128--3.696]   type = 11.00 (SB11_A_0_l)   stellarity = 0.72   chisq2 = 68.33   ODDS = 0.83   z_cluster = 0.182