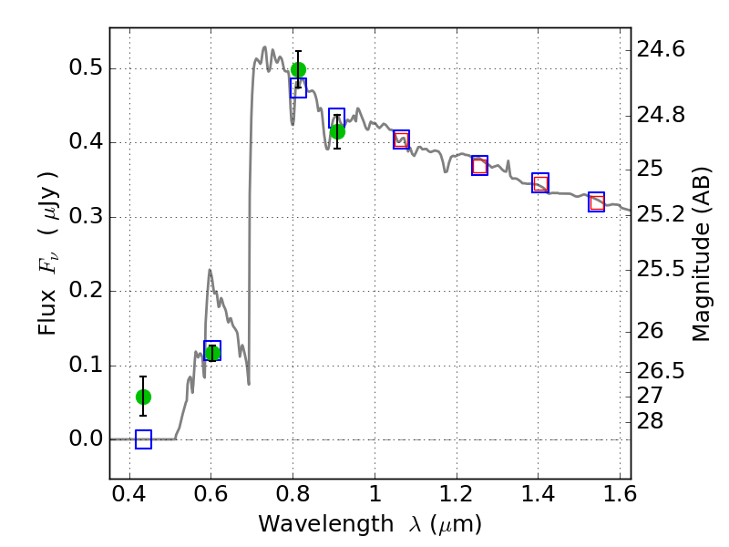
ABELL665 ACS+IR detection object #4982

Color images and BPZ results
Catalog: 4982.cat
Black segments are analyzed here.   Roll mouse over color images to view segments.
Best viewed in a wide browser window (1200 pixels or more).   Download SED & P(z) plots to view larger versions.
In P(z) plots: Yellow lines mark the cluster redshift z = 0.182,  

Object #4982   x,y = (1413, 2130)   RA, Dec = (08:31:15.336, 65:50:17.88) = (127.81390, 65.83830)   BPZ = 4.711 [4.555--4.791]   type = 10.70 (SB11_A_0_l - SB3_B10)   stellarity = 0.96   chisq2 = 2.65   ODDS = 0.99   z_cluster = 0.182