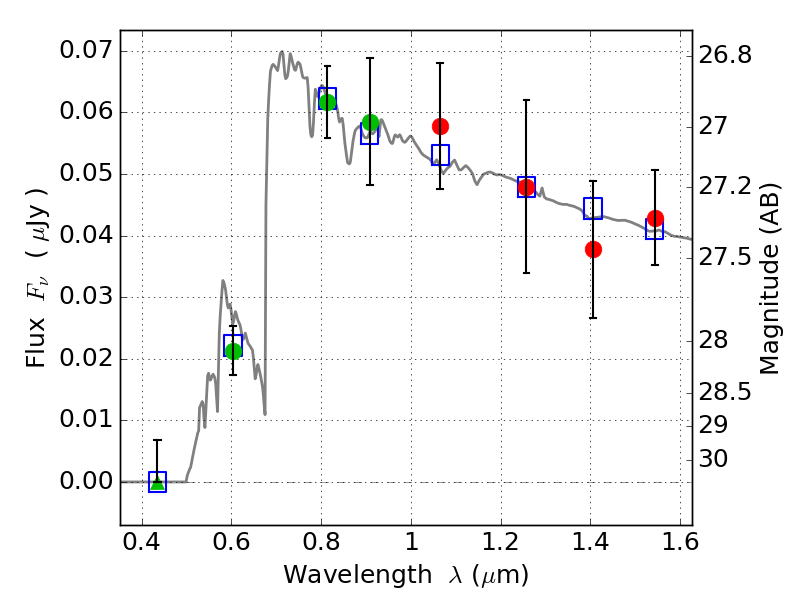
ABELL665 ACS+IR detection object #4619

Color images and BPZ results
Catalog: 4619.cat
Black segments are analyzed here.   Roll mouse over color images to view segments.
Best viewed in a wide browser window (1200 pixels or more).   Download SED & P(z) plots to view larger versions.
In P(z) plots: Yellow lines mark the cluster redshift z = 0.182,  

Object #4619   x,y = (3649, 2281)   RA, Dec = (08:30:53.496, 65:50:27.24) = (127.72290, 65.84090)   BPZ = 4.557 [4.336--4.780]   type = 10.80 (SB11_A_0_l - SB3_B10)   stellarity = 0.58   chisq2 = 0.12   ODDS = 0.95   z_cluster = 0.182