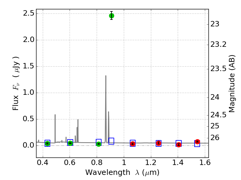
ABELL665 ACS+IR detection object #4611

Color images and BPZ results
Catalog: 4611.cat
Black segments are analyzed here.   Roll mouse over color images to view segments.
Best viewed in a wide browser window (1200 pixels or more).   Download SED & P(z) plots to view larger versions.
In P(z) plots: Yellow lines mark the cluster redshift z = 0.182,  

Object #4611   x,y = (3633, 2282)   RA, Dec = (08:30:53.664, 65:50:27.24) = (127.72360, 65.84090)   BPZ = 0.322 [0.289--0.380]   type = 11.00 (SB11_A_0_l)   stellarity = 1.00   chisq2 = 205.60   ODDS = 0.97   z_cluster = 0.182