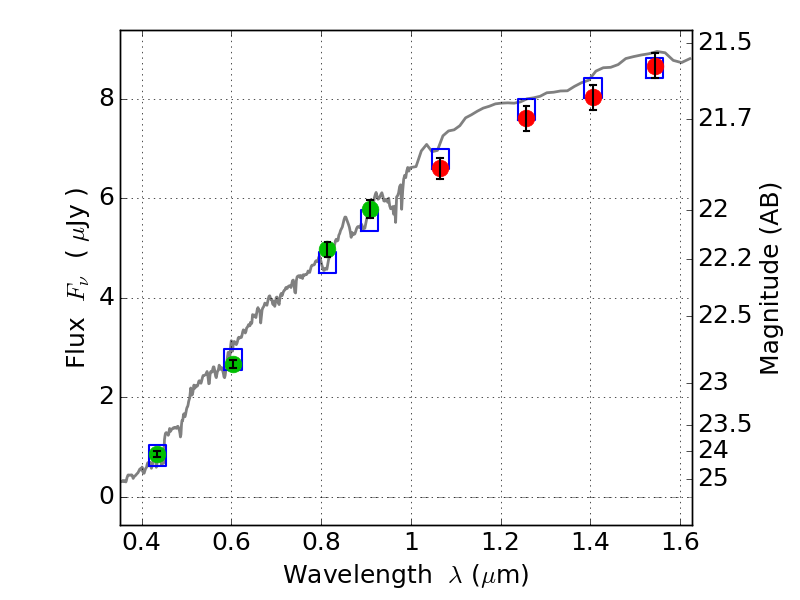
ABELL665 ACS+IR detection object #4189

Color images and BPZ results
Catalog: 4189.cat
Black segments are analyzed here.   Roll mouse over color images to view segments.
Best viewed in a wide browser window (1200 pixels or more).   Download SED & P(z) plots to view larger versions.
In P(z) plots: Yellow lines mark the cluster redshift z = 0.182,  

Object #4189   x,y = (3809, 2437)   RA, Dec = (08:30:51.936, 65:50:36.24) = (127.71640, 65.84340)   BPZ = 0.130 [0.052--0.171]   type = 4.10 (Ell4_A_0 - ES0_B10)   stellarity = 0.00   chisq2 = 0.13   ODDS = 0.81   z_cluster = 0.182