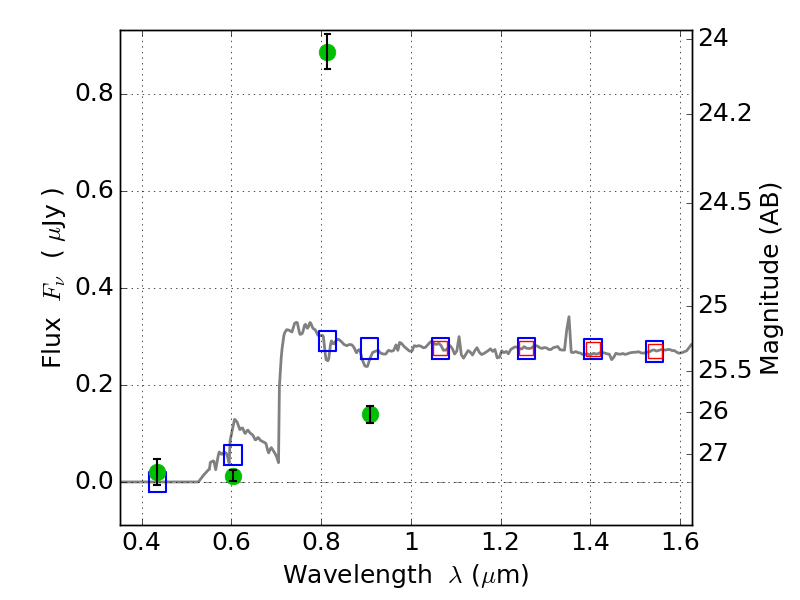
ABELL665 ACS+IR detection object #4101

Color images and BPZ results
Catalog: 4101.cat
Black segments are analyzed here.   Roll mouse over color images to view segments.
Best viewed in a wide browser window (1200 pixels or more).   Download SED & P(z) plots to view larger versions.
In P(z) plots: Yellow lines mark the cluster redshift z = 0.182,  

Object #4101   x,y = (1430, 2642)   RA, Dec = (08:31:15.192, 65:50:48.84) = (127.81330, 65.84690)   BPZ = 4.806 [4.736--4.870]   type = 10.00 (SB3_B10)   stellarity = 0.93   chisq2 = 252.80   ODDS = 1.00   z_cluster = 0.182