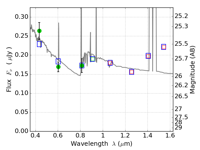
ABELL665 ACS+IR detection object #41

Color images and BPZ results
Catalog: 41.cat
Black segments are analyzed here.   Roll mouse over color images to view segments.
Best viewed in a wide browser window (1200 pixels or more).   Download SED & P(z) plots to view larger versions.
In P(z) plots: Yellow lines mark the cluster redshift z = 0.182,  

Object #41   x,y = (1615, 4143)   RA, Dec = (08:31:13.392, 65:52:18.84) = (127.80580, 65.87190)   BPZ = 1.168 [0.962--2.305]   type = 11.00 (SB11_A_0_l)   stellarity = 0.00   chisq2 = 2.23   ODDS = 0.24   z_cluster = 0.182