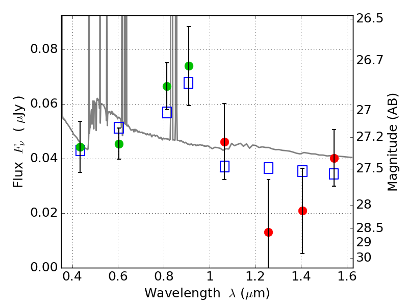
ABELL665 ACS+IR detection object #3958

Color images and BPZ results
Catalog: 3958.cat
Black segments are analyzed here.   Roll mouse over color images to view segments.
Best viewed in a wide browser window (1200 pixels or more).   Download SED & P(z) plots to view larger versions.
In P(z) plots: Yellow lines mark the cluster redshift z = 0.182,  

Object #3958   x,y = (3795, 2513)   RA, Dec = (08:30:52.080, 65:50:40.92) = (127.71700, 65.84470)   BPZ = 0.274 [0.109--1.139]   type = 11.00 (SB11_A_0_l)   stellarity = 0.00   chisq2 = 0.94   ODDS = 0.37   z_cluster = 0.182