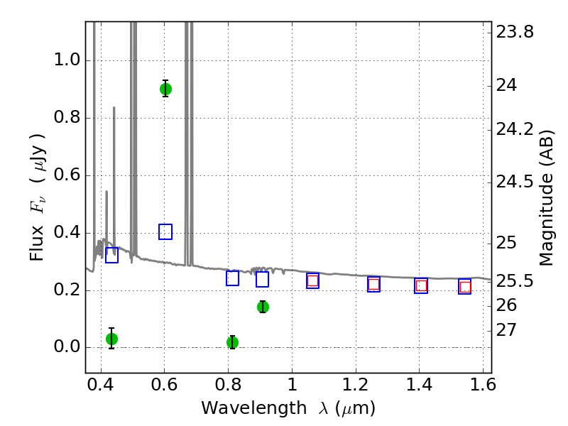
ABELL665 ACS+IR detection object #3793

Color images and BPZ results
Catalog: 3793.cat
Black segments are analyzed here.   Roll mouse over color images to view segments.
Best viewed in a wide browser window (1200 pixels or more).   Download SED & P(z) plots to view larger versions.
In P(z) plots: Yellow lines mark the cluster redshift z = 0.182,  

Object #3793   x,y = (1459, 2556)   RA, Dec = (08:31:14.904, 65:50:43.44) = (127.81210, 65.84540)   BPZ = 0.016 [0.010--0.031]   type = 11.00 (SB11_A_0_l)   stellarity = 0.96   chisq2 = 250.70   ODDS = 1.00   z_cluster = 0.182