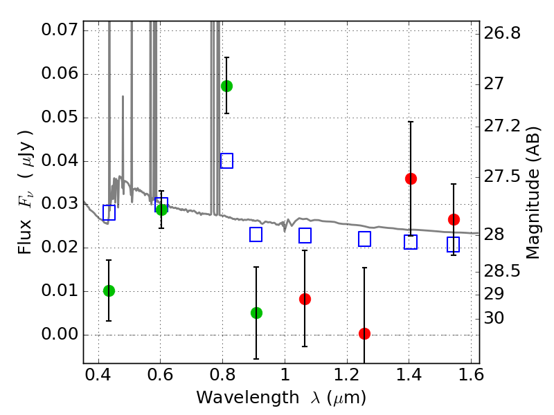
ABELL665 ACS+IR detection object #3497

Color images and BPZ results
Catalog: 3497.cat
Black segments are analyzed here.   Roll mouse over color images to view segments.
Best viewed in a wide browser window (1200 pixels or more).   Download SED & P(z) plots to view larger versions.
In P(z) plots: Yellow lines mark the cluster redshift z = 0.182,  

Object #3497   x,y = (3933, 2701)   RA, Dec = (08:30:50.712, 65:50:52.44) = (127.71130, 65.84790)   BPZ = 0.172 [0.101--4.129]   type = 11.00 (SB11_A_0_l)   stellarity = 0.00   chisq2 = 4.00   ODDS = 0.44   z_cluster = 0.182