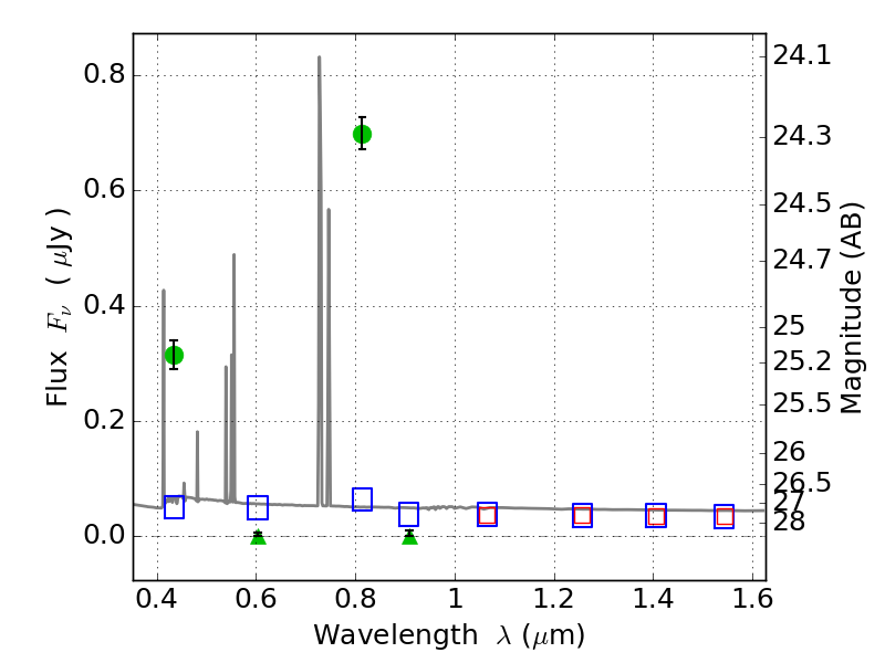
ABELL665 ACS+IR detection object #2898

Color images and BPZ results
Catalog: 2898.cat
Black segments are analyzed here.   Roll mouse over color images to view segments.
Best viewed in a wide browser window (1200 pixels or more).   Download SED & P(z) plots to view larger versions.
In P(z) plots: Yellow lines mark the cluster redshift z = 0.182,  

Object #2898   x,y = (1430, 2959)   RA, Dec = (08:31:15.192, 65:51:07.56) = (127.81330, 65.85210)   BPZ = 0.110 [0.089--0.159]   type = 11.00 (SB11_A_0_l)   stellarity = 0.98   chisq2 = 677.60   ODDS = 0.97   z_cluster = 0.182