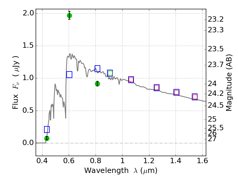
ABELL665 ACS+IR detection object #2799

Color images and BPZ results
Catalog: 2799.cat
Black segments are analyzed here.   Roll mouse over color images to view segments.
Best viewed in a wide browser window (1200 pixels or more).   Download SED & P(z) plots to view larger versions.
In P(z) plots: Yellow lines mark the cluster redshift z = 0.182,  

Object #2799   x,y = (4918, 2978)   RA, Dec = (08:30:41.088, 65:51:08.64) = (127.67120, 65.85240)   BPZ = 3.746 [3.676--3.800]   type = 11.00 (SB11_A_0_l)   stellarity = 0.94   chisq2 = 98.05   ODDS = 1.00   z_cluster = 0.182