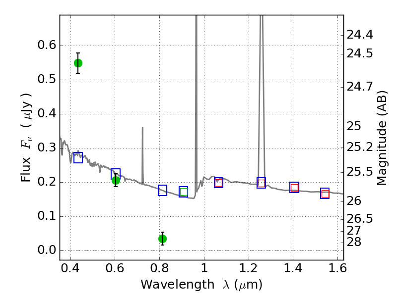
ABELL665 ACS+IR detection object #2778

Color images and BPZ results
Catalog: 2778.cat
Black segments are analyzed here.   Roll mouse over color images to view segments.
Best viewed in a wide browser window (1200 pixels or more).   Download SED & P(z) plots to view larger versions.
In P(z) plots: Yellow lines mark the cluster redshift z = 0.182,  

Object #2778   x,y = (4948, 2987)   RA, Dec = (08:30:40.800, 65:51:09.36) = (127.67000, 65.85260)   BPZ = 1.593 [1.440--2.096]   type = 11.00 (SB11_A_0_l)   stellarity = 1.00   chisq2 = 93.16   ODDS = 0.59   z_cluster = 0.182