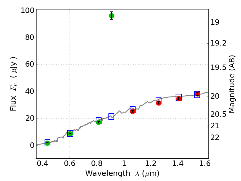
ABELL665 ACS+IR detection object #2664

Color images and BPZ results
Catalog: 2664.cat
Black segments are analyzed here.   Roll mouse over color images to view segments.
Best viewed in a wide browser window (1200 pixels or more).   Download SED & P(z) plots to view larger versions.
In P(z) plots: Yellow lines mark the cluster redshift z = 0.182,  

Object #2664   x,y = (2460, 2938)   RA, Dec = (08:31:05.112, 65:51:06.48) = (127.77130, 65.85180)   BPZ = 0.280 [0.204--0.308]   type = 4.10 (Ell4_A_0 - ES0_B10)   stellarity = 0.04   chisq2 = 77.68   ODDS = 0.90   z_cluster = 0.182