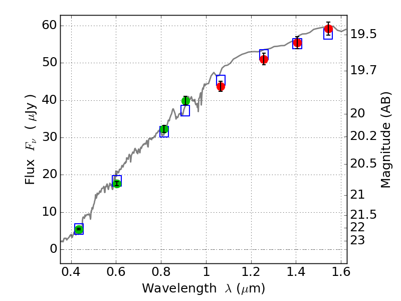
ABELL665 ACS+IR detection object #2535

Color images and BPZ results
Catalog: 2535.cat
Black segments are analyzed here.   Roll mouse over color images to view segments.
Best viewed in a wide browser window (1200 pixels or more).   Download SED & P(z) plots to view larger versions.
In P(z) plots: Yellow lines mark the cluster redshift z = 0.182,  

Object #2535   x,y = (2816, 3038)   RA, Dec = (08:31:01.632, 65:51:12.60) = (127.75680, 65.85350)   BPZ = 0.133 [0.066--0.160]   type = 4.10 (Ell4_A_0 - ES0_B10)   stellarity = 0.03   chisq2 = 0.18   ODDS = 0.88   z_cluster = 0.182