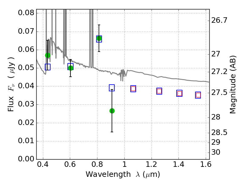
ABELL665 ACS+IR detection object #2093

Color images and BPZ results
Catalog: 2093.cat
Black segments are analyzed here.   Roll mouse over color images to view segments.
Best viewed in a wide browser window (1200 pixels or more).   Download SED & P(z) plots to view larger versions.
In P(z) plots: Yellow lines mark the cluster redshift z = 0.182,  

Object #2093   x,y = (2269, 3210)   RA, Dec = (08:31:06.984, 65:51:22.68) = (127.77910, 65.85630)   BPZ = 0.136 [0.087--2.621]   type = 11.00 (SB11_A_0_l)   stellarity = 0.44   chisq2 = 1.52   ODDS = 0.28   z_cluster = 0.182