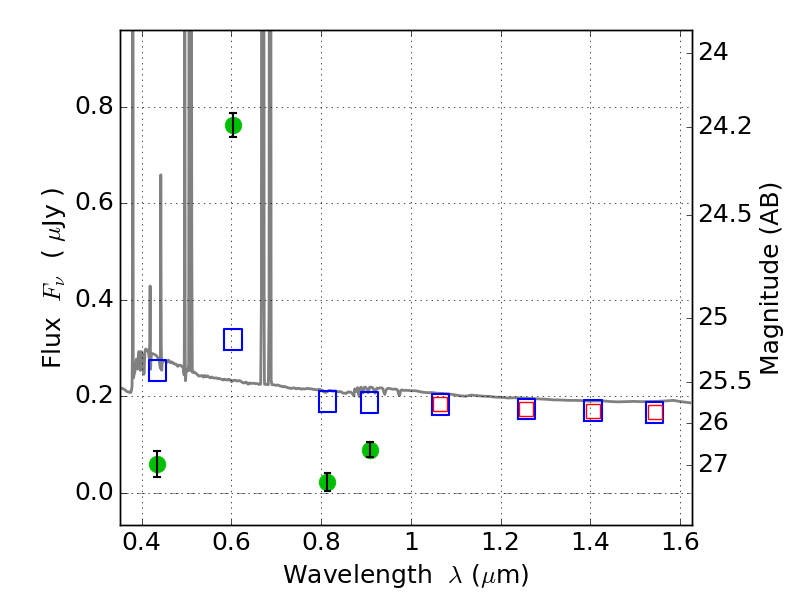
ABELL665 ACS+IR detection object #2091

Color images and BPZ results
Catalog: 2091.cat
Black segments are analyzed here.   Roll mouse over color images to view segments.
Best viewed in a wide browser window (1200 pixels or more).   Download SED & P(z) plots to view larger versions.
In P(z) plots: Yellow lines mark the cluster redshift z = 0.182,  

Object #2091   x,y = (1464, 3224)   RA, Dec = (08:31:14.856, 65:51:23.76) = (127.81190, 65.85660)   BPZ = 0.016 [0.010--0.032]   type = 11.00 (SB11_A_0_l)   stellarity = 0.98   chisq2 = 265.20   ODDS = 1.00   z_cluster = 0.182