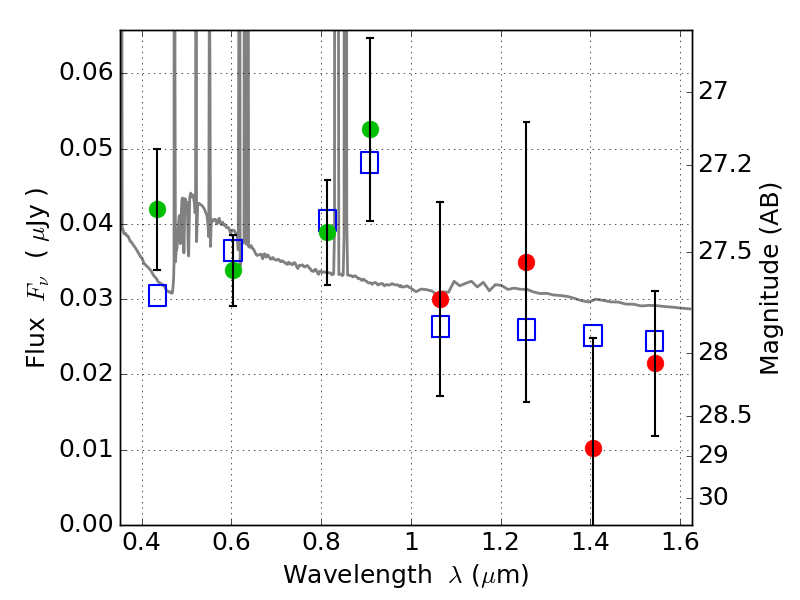
ABELL665 ACS+IR detection object #1926

Color images and BPZ results
Catalog: 1926.cat
Black segments are analyzed here.   Roll mouse over color images to view segments.
Best viewed in a wide browser window (1200 pixels or more).   Download SED & P(z) plots to view larger versions.
In P(z) plots: Yellow lines mark the cluster redshift z = 0.182,  

Object #1926   x,y = (2823, 3261)   RA, Dec = (08:31:01.584, 65:51:25.92) = (127.75660, 65.85720)   BPZ = 0.274 [0.118--2.916]   type = 11.00 (SB11_A_0_l)   stellarity = 0.00   chisq2 = 0.70   ODDS = 0.14   z_cluster = 0.182