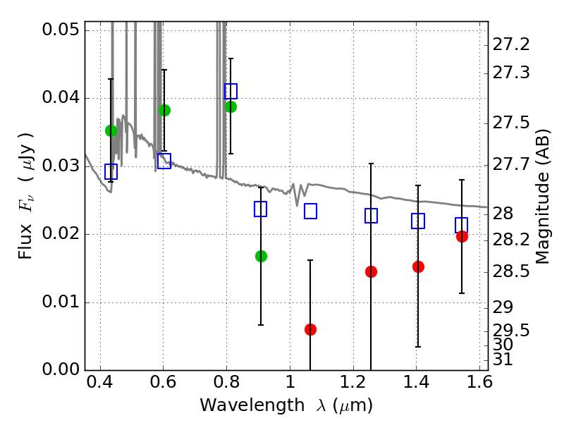
ABELL665 ACS+IR detection object #1808

Color images and BPZ results
Catalog: 1808.cat
Black segments are analyzed here.   Roll mouse over color images to view segments.
Best viewed in a wide browser window (1200 pixels or more).   Download SED & P(z) plots to view larger versions.
In P(z) plots: Yellow lines mark the cluster redshift z = 0.182,  

Object #1808   x,y = (3140, 3294)   RA, Dec = (08:30:58.464, 65:51:27.72) = (127.74360, 65.85770)   BPZ = 0.180 [0.064--3.135]   type = 11.00 (SB11_A_0_l)   stellarity = 0.00   chisq2 = 1.14   ODDS = 0.14   z_cluster = 0.182