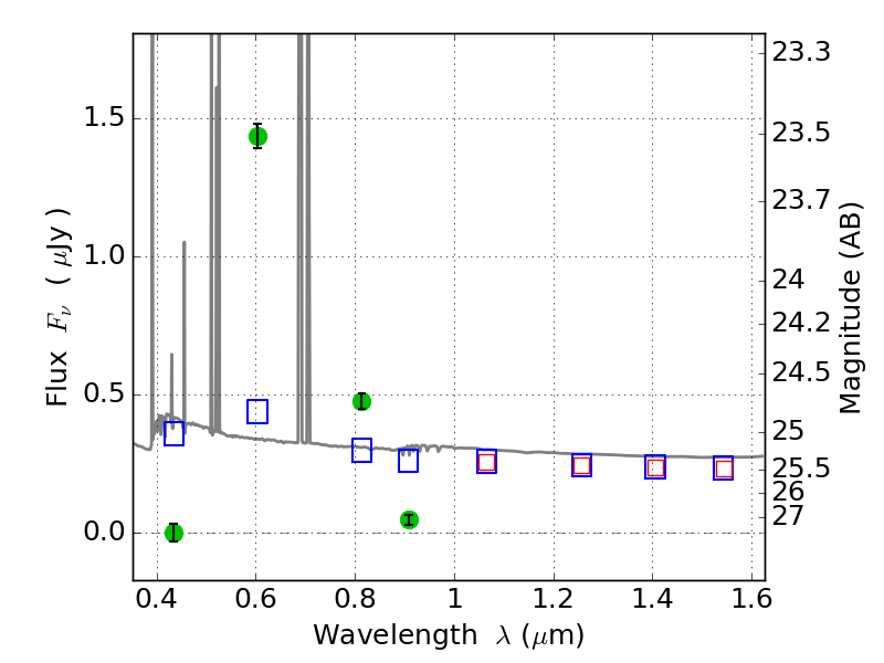
ABELL665 ACS+IR detection object #1463

Color images and BPZ results
Catalog: 1463.cat
Black segments are analyzed here.   Roll mouse over color images to view segments.
Best viewed in a wide browser window (1200 pixels or more).   Download SED & P(z) plots to view larger versions.
In P(z) plots: Yellow lines mark the cluster redshift z = 0.182,  

Object #1463   x,y = (1437, 3423)   RA, Dec = (08:31:15.120, 65:51:35.64) = (127.81300, 65.85990)   BPZ = 0.049 [0.034--0.084]   type = 11.00 (SB11_A_0_l)   stellarity = 0.92   chisq2 = 487.80   ODDS = 1.00   z_cluster = 0.182