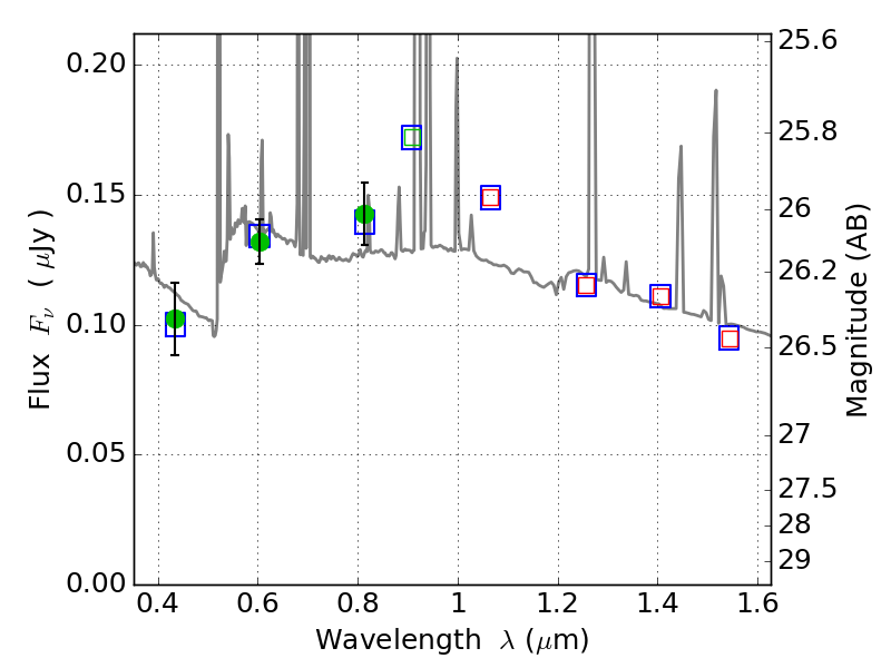
ABELL665 ACS+IR detection object #103

Color images and BPZ results
Catalog: 103.cat
Black segments are analyzed here.   Roll mouse over color images to view segments.
Best viewed in a wide browser window (1200 pixels or more).   Download SED & P(z) plots to view larger versions.
In P(z) plots: Yellow lines mark the cluster redshift z = 0.182,  

Object #103   x,y = (1714, 4098)   RA, Dec = (08:31:12.408, 65:52:15.96) = (127.80170, 65.87110)   BPZ = 0.401 [0.121--3.039]   type = 10.40 (SB3_B10 - SB11_A_0_l)   stellarity = 0.00   chisq2 = 0.08   ODDS = 0.07   z_cluster = 0.182