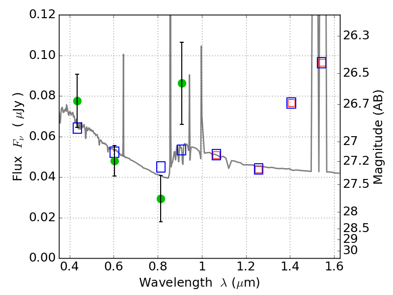
ABELL665 ACS+IR detection object #979

Color images and BPZ results
Catalog: 979.cat
Black segments are analyzed here.   Roll mouse over color images to view segments.
Best viewed in a wide browser window (1200 pixels or more).   Download SED & P(z) plots to view larger versions.
In P(z) plots: Yellow lines mark the cluster redshift z = 0.182,  

Object #979   x,y = (2069, 3632)   RA, Dec = (08:31:08.928, 65:51:48.24) = (127.78720, 65.86340)   BPZ = 1.303 [0.790--2.555]   type = 11.00 (SB11_A_0_l)   chisq2 = 4.87   ODDS = 0.22   z_cluster = 0.182