ABELL665 ACS+IR detection object #8501

Color images and BPZ results
Catalog: 8501.cat
Black segments are analyzed here.   Roll mouse over color images to view segments.
Best viewed in a wide browser window (1200 pixels or more).   Download SED & P(z) plots to view larger versions.
In P(z) plots: Yellow lines mark the cluster redshift z = 0.182,  

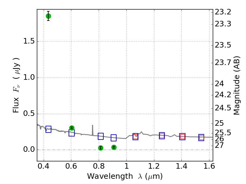
Object #8501   x,y = (1444, 921)   RA, Dec = (08:31:15.048, 65:49:05.52) = (127.81270, 65.81820)   BPZ = 1.699 [1.680--1.943]   type = 11.00 (SB11_A_0_l)   chisq2 = 637.80   ODDS = 0.70   z_cluster = 0.182