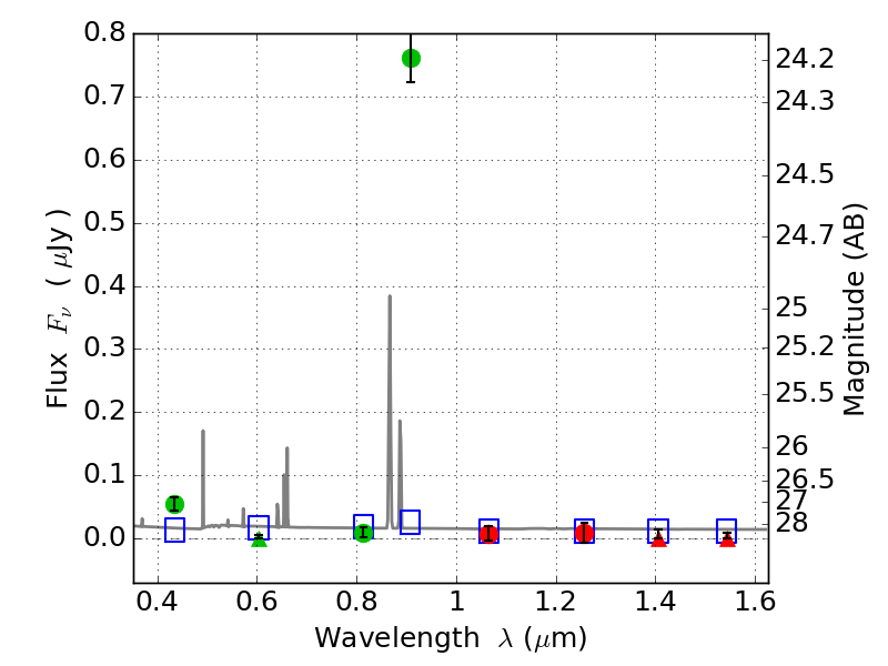
ABELL665 ACS+IR detection object #8442

Color images and BPZ results
Catalog: 8442.cat
Black segments are analyzed here.   Roll mouse over color images to view segments.
Best viewed in a wide browser window (1200 pixels or more).   Download SED & P(z) plots to view larger versions.
In P(z) plots: Yellow lines mark the cluster redshift z = 0.182,  

Object #8442   x,y = (3229, 945)   RA, Dec = (08:30:57.624, 65:49:06.96) = (127.74010, 65.81860)   BPZ = 0.318 [0.268--5.492]   type = 11.00 (SB11_A_0_l)   chisq2 = 73.75   ODDS = 0.14   z_cluster = 0.182