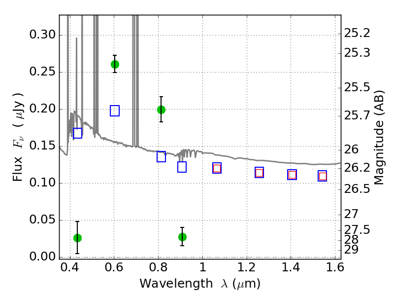
ABELL665 ACS+IR detection object #7873

Color images and BPZ results
Catalog: 7873.cat
Black segments are analyzed here.   Roll mouse over color images to view segments.
Best viewed in a wide browser window (1200 pixels or more).   Download SED & P(z) plots to view larger versions.
In P(z) plots: Yellow lines mark the cluster redshift z = 0.182,  

Object #7873   x,y = (1445, 1175)   RA, Dec = (08:31:15.024, 65:49:20.64) = (127.81260, 65.82240)   BPZ = 0.048 [0.027--0.081]   type = 11.00 (SB11_A_0_l)   chisq2 = 80.01   ODDS = 1.00   z_cluster = 0.182